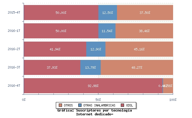
Suscriptores por tecnología
- Unidad: Porcentaje
- Nivel: Municipio BoyacÁ
- Periodo corte: 2011-4T
| TECNOLOGIA | 2015-4T | 2016-1T | 2016-2T | 2016-3T | 2016-4T |
| XDSL | 23,08% | 23,64% | 20,97% | 19,64% | 89,08% |
| OTRAS INALAMBRICAS | 5,77% | 5,45% | 6,45% | 7,14% | 0,42% |
| OTRAS TECNOLOGIAS | 53,85% | 52,73% | 50,00% | 48,21% | 4,20% |
| SATELITAL | 9,62% | 9,09% | 11,29% | 12,50% | 2,52% |
| WIFI | 0,00% | 1,82% | 8,06% | 8,93% | 1,26% |
| RADIO MICRO-ONDAS | 7,69% | 7,27% | 3,23% | 1,79% | 1,68% |
| FIBRA OPTICA | 0,00% | 0,00% | 0,00% | 1,79% | 0,84% |
| TOTAL | 100,00% | 100,00% | 100,00% | 100,00% | 100,00% |







