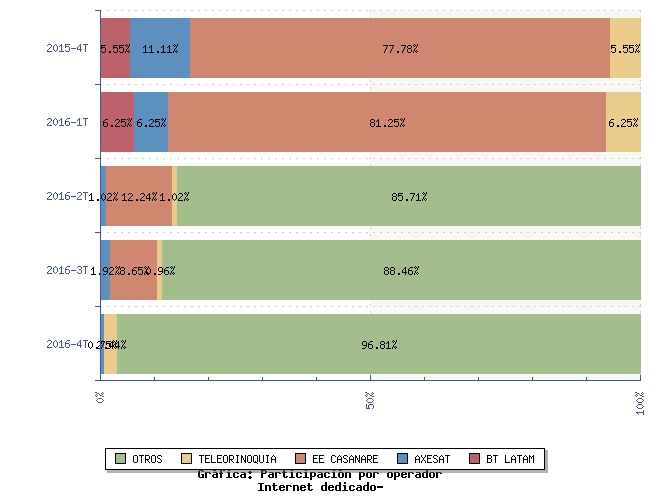
Participación por operador
- Unidad: Porcentaje
- Nivel: Municipio Monterrey
- Periodo corte: 2016-4T
| NOMBRE | 2015-4T | 2016-1T | 2016-2T | 2016-3T | 2016-4T |
| BT LATAM | 5,26% | 5,88% | 0,00% | 0,00% | 0,00% |
| AXESAT | 10,53% | 5,88% | 1,01% | 1,90% | 0,74% |
| EE CASANARE | 73,68% | 76,47% | 12,12% | 8,57% | 0,00% |
| TELEORINOQUIA | 5,26% | 5,88% | 1,01% | 0,95% | 2,42% |
| SKYNET | 5,26% | 5,88% | 1,01% | 0,95% | 0,93% |
| INFRAESTRUCTURA Y SERVICIOS DE COLOMBIA SAS | 0,00% | 0,00% | 84,85% | 84,76% | 94,98% |
| AZTECA COMUNICACIONES | 0,00% | 0,00% | 0,00% | 2,86% | 0,19% |
| TV AZTECA | 0,00% | 0,00% | 0,00% | 0,00% | 0,74% |
| TOTAL | 100,00% | 100,00% | 100,00% | 100,00% | 100,00% |







