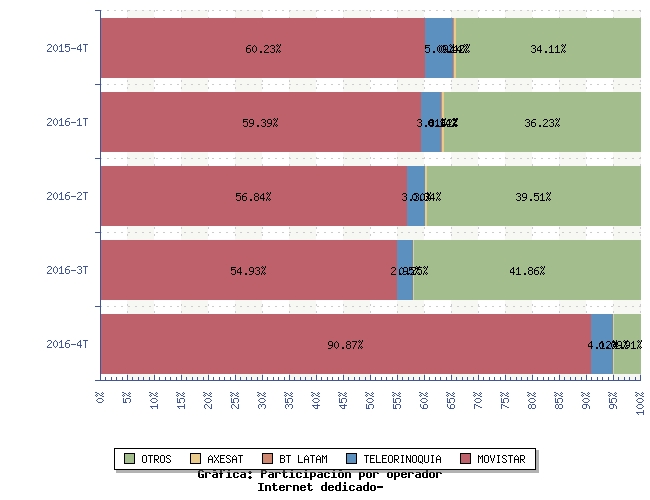
Participación por operador
- Unidad: Porcentaje
- Nivel: Municipio Paz de ariporo
- Periodo corte: 2016-4T
| NOMBRE | 2015-4T | 2016-1T | 2016-2T | 2016-3T | 2016-4T |
| MOVISTAR | 59,93% | 59,14% | 56,73% | 54,80% | 90,85% |
| TELEORINOQUIA | 5,07% | 3,80% | 3,30% | 2,95% | 4,12% |
| BT LATAM | 0,14% | 0,14% | 0,00% | 0,00% | 0,00% |
| AXESAT | 0,42% | 0,42% | 0,34% | 0,25% | 0,09% |
| EE CASANARE | 0,49% | 0,42% | 0,20% | 0,25% | 0,02% |
| TV AZTECA | 0,07% | 0,07% | 0,13% | 0,13% | 0,23% |
| AZTECA COMUNICACIONES | 26,48% | 26,58% | 27,79% | 27,84% | 1,27% |
| DIRECTV | 7,39% | 9,42% | 11,51% | 13,73% | 3,39% |
| IP TECHNOLOGIES | 0,00% | 0,00% | 0,00% | 0,06% | 0,02% |
| TOTAL | 100,00% | 100,00% | 100,00% | 100,00% | 100,00% |







