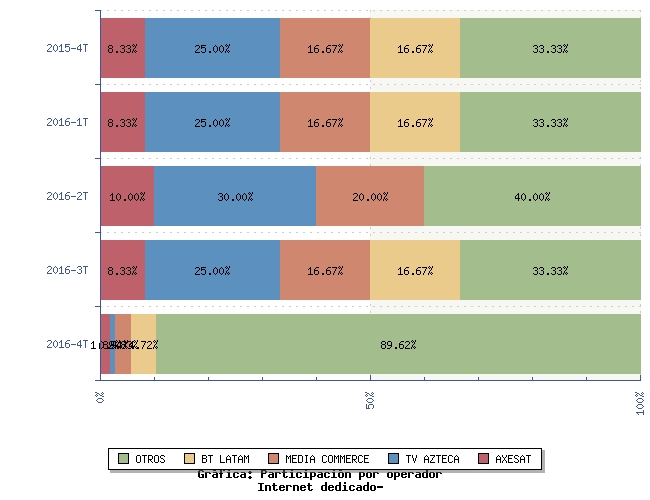
Participación por operador
- Unidad: Porcentaje
- Nivel: Municipio Marulanda
- Periodo corte: 2016-4T
| NOMBRE | 2015-4T | 2016-1T | 2016-2T | 2016-3T | 2016-4T |
| AXESAT | 1,35% | 1,03% | 1,08% | 1,02% | 0,79% |
| TV AZTECA | 4,05% | 3,09% | 3,23% | 3,06% | 0,39% |
| MEDIA COMMERCE | 2,70% | 2,06% | 2,15% | 2,04% | 1,18% |
| BT LATAM | 2,70% | 2,06% | 0,00% | 2,04% | 1,97% |
| AZTECA COMUNICACIONES | 83,78% | 87,63% | 89,25% | 87,76% | 58,27% |
| CALDAS DATA | 2,70% | 2,06% | 2,15% | 2,04% | 1,18% |
| SKYNET | 2,70% | 2,06% | 2,15% | 2,04% | 36,22% |
| TOTAL | 100,00% | 99,99% | 100,00% | 100,00% | 100,00% |







