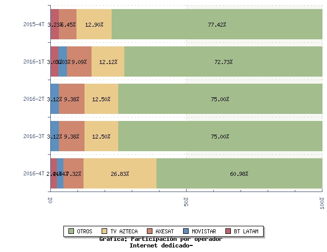
Participación por operador
- Unidad: Porcentaje
- Nivel: Municipio SamanÁ
- Periodo corte: 2016-4T
| NOMBRE | 2015-4T | 2016-1T | 2016-2T | 2016-3T | 2016-4T |
| BT LATAM | 0,29% | 0,25% | 0,00% | 0,00% | 1,49% |
| MOVISTAR | 0,00% | 0,25% | 0,25% | 0,24% | 1,49% |
| AXESAT | 0,57% | 0,76% | 0,74% | 0,72% | 4,48% |
| TV AZTECA | 1,14% | 1,02% | 0,99% | 0,97% | 16,42% |
| AZTECA COMUNICACIONES | 91,14% | 91,62% | 92,06% | 92,27% | 38,81% |
| CALDAS DATA | 6,86% | 6,09% | 5,96% | 5,80% | 37,31% |
| TOTAL | 100,00% | 100,00% | 100,00% | 100,00% | 100,00% |







